Po języku polskim przyszedł czas na matematykę. O godz. 9 rozpoczęła się matura na poziomie podstawowym właśnie z matematyki. Maturzyści mieli 180 minut na to, by zmierzyć się z królową nauk. Poniżej w tym artykule publikujemy arkusze CKE i propozycje rozwiązań matury 2025 na poziomie podstawowym z matematyki. Jutro na naszych stronach znajdziecie odpowiedzi do zadań maturalnych z języka angielskiego na poziomie podstawowym.
Od godz. 9:00 aż do 12:00 tegoroczni maturzyści pisali egzamin z matematyki na poziomie podstawowym. Tuż po godz. 14 Centralna Komisja Egzaminacyjna opublikowała na swych stronach arkusze zadań maturalnych z matematyki na poziomie podstawowym. Znajdziecie je poniżej. W tym artykule publikujemy także propozycje rozwiązań matury z matematyki na poziomie podstawowym przygotowane przez naszego eksperta.
MATURA 2025. MATEMATYKA. POZIOM PODSTAWOWY. ARKUSZE CKE - POBIERZ TUTAJ
Maturzyści piszący we wtorek egzamin z matematyki na poziomie podstawowym w nowej formule musieli wykazać się m.in. umiejętnością działań na liczbach rzeczywistych, znajomością funkcji i ich własności oraz ciągów liczbowych.
Arkusz egzaminacyjny zawierał 31 zadań, w tym 22 zamknięte, czyli takie, w których uczeń wybiera jedną z czterech możliwych odpowiedzi albo wskazuje, które z podanych odpowiedzi są prawdziwe lub fałszywe.
W pozostałych zdający sam musi udzielić odpowiedzi i poprawnie zapisać sposób rozwiązywania. Część zadań było złożonych. Podczas ich rozwiązywania maturzyści mogli korzystać z zestawu wzorów matematycznych, cyrkla, linijki i z prostego kalkulatora.
Egzamin z matematyki na poziomie podstawowym trwał 180 minut. Za rozwiązanie wszystkich zadań można otrzymać maksymalnie 46 punktów: za każde zadanie, zależnie od stopnia trudności, od 1 do 4 punktów. Najwyżej punktowane były zadania otwarte.
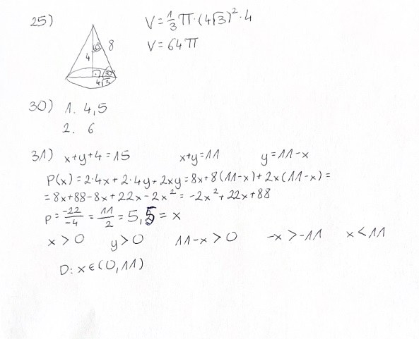
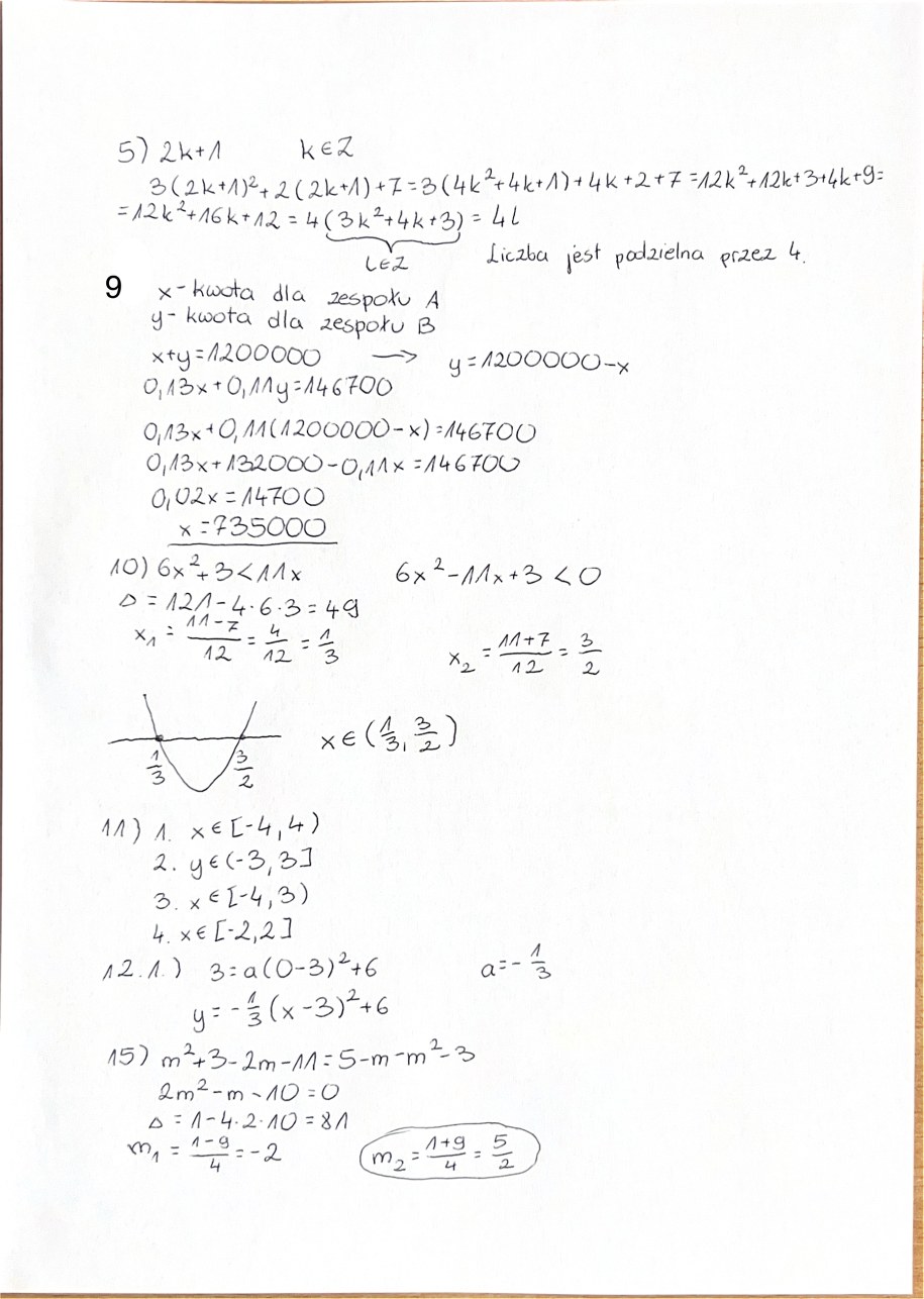
Propozycje rozwiązań matury z matematyki na poziomie podstawowym przygotował dla nas Tomasz Wierzchowski, nauczyciel matematyki w LO w Węgorzewie (woj. warmińsko-mazurskie), członek Zarządu Głównego Stowarzyszenia Nauczycieli Matematyki, egzaminator egzaminu maturalnego z matematyki.
Matura z matematyki na poziomie podstawowy. Zadania otwarte, propozyjce rozwiązań:
Matematyka na poziomie podstawowym to jeden z obowiązkowych egzaminów maturalnych.
Aby zdać egzamin maturalny z matematyki na poziomie podstawowym, należy uzyskać minimum 30 proc. pkt, czyli co najmniej 15 pkt z 50 możliwych. Uczeń, który nie zda tego egzaminu, ma możliwość poprawki - w sierpniu.
W tym roku większość uczniów pisała maturę z matematyki na poziomie podstawowym zgodnie z obowiązującą Formułą 2023.
Termin dodatkowy egzaminu z matematyki odbędzie się we wtorek 4 czerwca o godzinie 9.
Egzamin maturalny z matematyki na poziomie podstawowym trwał 180 min.
Składał się z:
- zadań zamkniętych, w tym typu prawda/fałsz,
- zadań otwartych wymagających krótkich odpowiedzi i przedstawienia toku rozumowania.
Za rozwiązanie wszystkich zadań można uzyskać maksymalnie 50 pkt. Zakres tematyczny obejmuje m.in.:
- algebrę,
- geometrię,
- analizę matematyczną,
- statystykę i rachunek prawdopodobieństwa.
Egzamin sprawdza nie tylko wiedzę, ale także umiejętność logicznego myślenia i rozwiązywania problemów matematycznych.
Egzamin maturalny z matematyki skończył się w samo południe. Nie wszyscy jednak mieli dziś czas na odpoczynek.
Od godz. 14 zaczęły się kolejne egzaminy maturalne - z kaszubskiego, łemkowskiego i łaciny. Egzaminy z tych języków należą do grupy egzaminów z tzw. przedmiotów do wyboru, zdawane są na poziomie rozszerzonym.
Egzamin z matematyki na poziomie rozszerzonym będzie przeprowadzony 12 maja.
W pierwszym dniu matur maturzyści zmierzyli się z językiem polskim na poziomie podstawowym.
Uczniowie mieli 240 minut na napisanie egzaminu na poziomie podstawowym. Składał się on z trzech części - języka polskiego w użyciu, testu historycznoliterackiego i wypracowania.
Zadania w części testowej egzaminu odnosiły m.in. do "Tanga" Sławomira Mrożka, "Rozmowy mistrza Polikarpa ze śmiercią", fragmentu "Dziadów" Adama Mickiewicza, wierszy Jana Kochanowskiego, Zbigniewa Herberta oraz powieści George'a Orwella "1984".
Arkusze i propozycje rozwiązań z matury z języka polskiego na poziomie podstawowym publikujemy >>>W TYM >>>W TYM ARTYKULE<<<<<<.
Najważniejsze informacje dotyczące matury 2025 znajdziecie w naszym specjalnym raporcie na stronie RMF24. Możecie tam zobaczyć m.in. przykładowe zadania maturalne wraz z rozwiązaniami.
Jak co roku na naszej stronie RMF24.pl tuż po zakończeniu egzaminów maturalnych publikujemy arkusze maturalne oraz przykłady rozwiązań egzaminów z języka polskiego, matematyki i języka angielskiego.
Maturzysta musi przystąpić do trzech obowiązkowych pisemnych egzaminów na poziomie podstawowym: z języka polskiego, z matematyki i z języka obcego nowożytnego. Abiturienci ze szkół lub klas z językiem nauczania mniejszości narodowych obowiązkowy mają jeszcze egzamin pisemny z języka ojczystego na poziomie podstawowym.
Maturzyści muszą też przystąpić obowiązkowo do jednego pisemnego egzaminu na poziomie rozszerzonym, czyli do egzaminu z tzw. przedmiotu dodatkowego lub do wyboru. Chętni mogą przystąpić maksymalnie jeszcze do pięciu egzaminów na poziomie rozszerzonym.
Wśród przedmiotów do wyboru są:
- biologia,
- chemia,
- filozofia,
- fizyka,
- geografia,
- historia,
- historia sztuki,
- historia muzyki,
- informatyka,
- język łaciński i kultura antyczna,
- wiedza o społeczeństwie,
- języki mniejszości narodowych i etnicznych,
- język regionalny,
- matematyka,
- język polski,
- języki obce nowożytne.
Absolwenci technikum i absolwenci branżowej szkoły II stopnia nie mają obowiązku przystąpienia do egzaminu z jednego przedmiotu dodatkowego na poziomie rozszerzonym, jeżeli spełnili wszystkie warunki niezbędne do uzyskania dyplomu potwierdzającego kwalifikacje zawodowe albo dyplomu zawodowego w zawodzie nauczanym na poziomie technika.
Wszyscy tegoroczni abiturienci muszą też przystępować do dwóch egzaminów ustnych: z języka polskiego i z języka obcego. Maturzyści ze szkół dla mniejszości narodowych muszą przystąpić jeszcze do egzaminu ustnego z języka ojczystego.
Aby zdać maturę, abiturient musi uzyskać minimum 30 proc. punktów z egzaminów obowiązkowych. W przypadku przedmiotu do wyboru nie ma progu zaliczeniowego, wynik z egzaminu służy tylko przy rekrutacji na studia.
Wyniki matur podane zostaną 8 lipca.
Maturzysta, który nie zda jednego obowiązkowego egzaminu, ma prawo do poprawki w sierpniu. Abiturient, który nie zda więcej niż jednego egzaminu obowiązkowego, może poprawiać je dopiero za rok.
Osoby poprawiające maturę w sierpniu poznają swój wynik 10 września.
Najważniejsze informacje dotyczące matury 2025 znajdziecie w naszym specjalnym raporcie na stronie RMF24. Możecie tam zobaczyć m.in. przykładowe zadania maturalne wraz z rozwiązaniami.
Jak co roku na naszej stronie RMF24.pl tuż po zakończeniu egzaminów maturalnych będziemy publikować arkusze maturalne oraz przykłady rozwiązań egzaminów z języka polskiego, matematyki i języka angielskiego.


