Premier Mateusz Morawiecki ucieka przed inflacją w obligacje skarbowe. Z jego opublikowanego dziś oświadczenia majątkowego wynika, że szef rządu niemal całkowicie pozbył się gotówki. Z kolei oszczędności prezesa PiS Jarosława Kaczyńskiego w ciągu roku bardzo wzrosły. Jednym z najlepiej zarabiających polityków w Polsce stał się Zbigniew Ziobro.
Najnowsze oświadczenie majątkowe szefa rządu pokazuje, że Mateusz Morawiecki ulokował ponad 4,5 mln zł w obligacjach skarbowych. Wszystko wskazuje na to, że były to obligacje antyinflacyjne, czyli te dające zysk w wysokości inflacji. Przy cenach pędzących obecnie w tempie 12,4 proc. to nie dziwi.
Mateusz Morawiecki prawie całą wykazaną rok temu gotówkę zainwestował w obligacje. Zostawił sobie do swobodnej dyspozycji 56 tys. zł. W porównaniu z zeszłym rokiem nie zmienił się stan posiadania - jeśli chodzi o nieruchomości.
Mateusz Morawiecki ma dom o powierzchni 150 metrów kwadratowych, działkę 4,5 tys. metrów kwadratowych. Do tego domek letniskowy, kolejny 100-metrowy dom, dodatkowo 180-metorwy segment i mieszkanie o powierzchni 72 metrów kwadratowych.
Meble premiera - jak sam wpisał w oświadczenie - warte są 295 tysięcy. Sprzęt techniczny - 30 tysięcy.
Warto jednak dodać, że majątek premiera przepisany na żonę pozostaje tajny.
Całość oświadczenia majątkowego Mateusza Morawieckiego
W ciągu roku Jarosław Kaczyński odłożył 100 tysięcy złotych. Z jego najnowszego oświadczenia majątkowego wynika, że w ciągu roku oszczędności prezesa Prawa i Sprawiedliwości bardzo mocno wzrosły.
Kaczyński zadeklarował, że ma 253 tys. zł oszczędności - to o 100 tysięcy więcej niż przed rokiem. Jarosław Kaczyński mógł sobie na to pozwolić, bo jako wicepremier do spraw bezpieczeństwa - a nie tylko poseł - dostaje większe pieniądze.
W całym zeszłym roku Kaczyński zarobił w Kancelarii premiera 208 tys. zł. Do tego trzeba doliczyć 5 tys. zł diety parlamentarnej. Niebagatelną pozycją jest także emerytura. W zeszłym roku Jarosław Kaczyński dostał z ZUS 90 tys. zł.
Szef PiS posiada także pożyczkę w SKOK-ach na prawie 85 tys. zł.
Całość oświadczenia Jarosława Kaczyńskiego
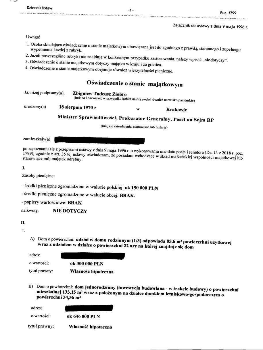
Jednym z najlepiej zarabiających polityków w Polsce stał się Zbigniew Ziobro. Minister sprawiedliwości podwoił swoje oszczędności. Tak wynika z opublikowanych dziś poselskich oświadczeń majątkowych. Pod względem finansowym lider Solidarnej Polski zeszły rok może uznać za bardzo udany.
Co sprawiło, że Ziobro jest w topie najlepiej zarabiających polityków? Wynika to z faktu, że Ziobro pełni kilka różnych funkcji.
Po pierwsze, jest ministrem sprawiedliwości, co dało mu 203 tysięcy złotych. Jako szef resortu jest też z automatu Prokuratorem Generalnym, za co należy się druga pensja - ponad 72 tysięcy złotych.
Jako minister sprawiedliwości Ziobro jest też automatycznie członkiem Krajowej Rady Sądownictwa, za co należą się kolejne pieniądze - prawie 33 tysięcy złotych. Do tego doliczmy 36 tysięcy złotych diet poselskich.
Łącznie Ziobro zarobił więc w zeszłym roku 345 tysięcy złotych. To pozwoliło liderowi Solidarnej Polski na podwojenie oszczędności. Rok temu miał 75 tysięcy złotych, dziś 150 tysięcy.
Zbigniew Ziobro ma także sporo nieruchomości. Ciekawe że na swoim domu zainstalował panele słoneczne. To interesujące, bo wcześniej politycy jego ugrupowania bywali sceptyczni wobec odnawialnych źródeł energii.


