Maturzyści pisali dziś nieobowiązkowy egzamin z matematyki na poziomie rozszerzonym. Publikujemy arkusze w Formule 2023 i Formule 2015 opublikowane przez Centralną Komisję Egzaminacyjną. Mamy też dla was propozycje rozwiązań zadań z arkuszy. Będziemy mieli dla Was także rozwiązania.
MATURA 2023. ARKUSZE CKE z matematyki poziom rozszerzony (formuła 2023). KLIKNIJ, ABY POBRAĆ>>>
MATURA 2023. ARKUSZE CKE z matematyki poziom rozszerzony (formuła 2015). KLIKNIJ, ABY POBRAĆ>>>
W tym roku egzaminy maturalne przeprowadzane są w dwóch formułach. W nowej formule (Formuła 2023) do egzaminów przystępują tegoroczni absolwenci czteroletnich liceów ogólnokształcących. Tegoroczni absolwenci techników, którzy ukończyli czteroletnie technikum, i absolwenci szkół branżowych II stopnia, zdają maturę w starej formule (Formuła 2015).
Chęć zdawania egzaminu z matematyki na poziomie rozszerzonym zadeklarowało ok. 76,9 tys. tegorocznych absolwentów liceów ogólnokształcących, techników i szkół branżowych II stopnia. Matematyka na poziomie rozszerzonym jest na drugim miejscu, jeśli chodzi o wybór wśród maturzystów z liceów (chce ją zdawać ok. 49,3 tys. absolwentów LO, czyli 31,3 proc. z nich), a wśród maturzystów z techników i szkół branżowych II stopnia jest na trzecim miejscu (chce ją zdawać 27,6 tys. absolwentów T i BSII, czyli 24,3 proc. z nich).
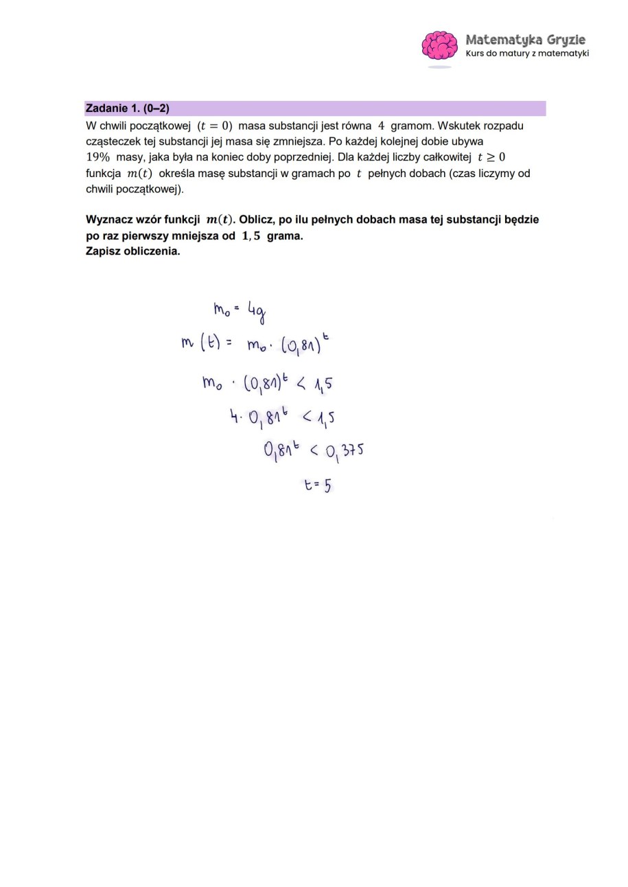
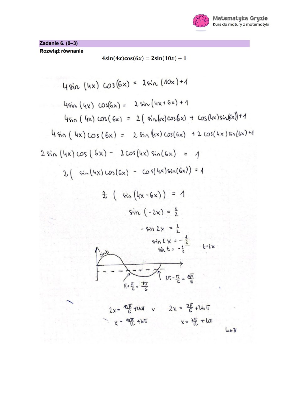
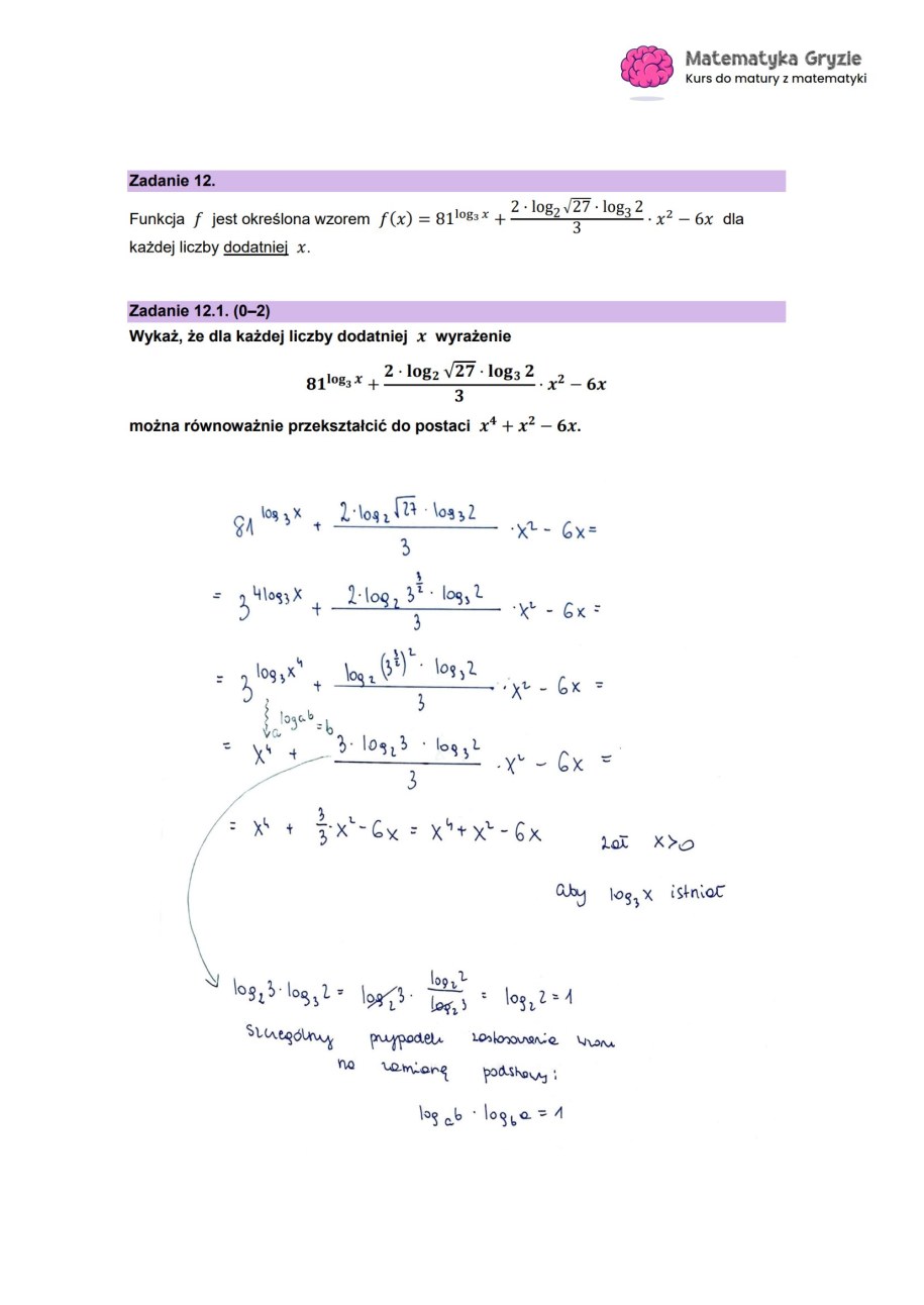
Poniżej publikujemy propozycję rozwiązań zadań maturalnych.
Pierwsza część pliku zadania z arkusza w formule 2023, a druga w formule 2015.
MATURA 2023. MATEMATYKA NA POZIOMIE ROZSZERZONYM [ROZWIĄZANIA]
Maturzysta musi przystąpić do trzech obowiązkowych pisemnych egzaminów na poziomie podstawowym: z języka polskiego, z matematyki i z języka obcego. Abiturienci ze szkół lub klas z językiem nauczania mniejszości narodowych obowiązkowy mają jeszcze egzamin pisemny z języka ojczystego na poziomie podstawowym. Wszyscy muszą też przystępować do dwóch egzaminów ustnych: z języka polskiego i z języka obcego. Maturzyści ze szkół dla mniejszości narodowych muszą przystąpić jeszcze do egzaminu ustnego z języka ojczystego.
Maturzyści muszą też przystąpić obowiązkowo do jednego pisemnego egzaminu na poziomie rozszerzonym (w przypadku języka obcego nowożytnego na poziomie rozszerzonym lub dwujęzycznym), czyli do egzaminu z tzw. przedmiotu dodatkowego lub do wyboru. Chętni mogą przystąpić maksymalnie do sześciu egzaminów na poziomie rozszerzonym.
Absolwenci technikum i absolwenci branżowej szkoły II stopnia nie mają obowiązku przystąpienia do egzaminu z jednego przedmiotu dodatkowego na poziomie rozszerzonym, jeżeli spełnili wszystkie warunki niezbędne do uzyskania dyplomu potwierdzającego kwalifikacje zawodowe albo dyplomu zawodowego w zawodzie nauczanym na poziomie technika. Według Centralnej Komisji Egzaminacyjnej w tym roku 782 maturzystów (0,7 proc. tegorocznych absolwentów techników i szkół branżowych) nie będzie zdawać żadnego przedmiotu na poziomie rozszerzonym.
Aby zdać maturę, abiturient musi uzyskać minimum 30 proc. punktów z egzaminów obowiązkowych. W przypadku przedmiotu do wyboru nie ma progu zaliczeniowego.
Maturzysta, który jest laureatem lub finalistą olimpiady przedmiotowej, a zadeklarował chęć zdawania go na maturze, jest zwolniony z przystąpienia do egzaminu maturalnego z tego przedmiotu i automatycznie otrzymuje 100 proc. punktów możliwych do uzyskania z egzaminu z tego przedmiotu.
Dodatkowa sesja maturalna dla osób, które z przyczyn zdrowotnych lub losowych nie przystąpią do egzaminów w terminie głównym, zaplanowana została od 1 do 19 czerwca.
Centralna Komisja Egzaminacyjna 7 lipca ogłosi wyniki tegorocznych matur. Wtedy też maturzyści poznają swoje indywidualne wyniki.


